TomoKです。
今更ながら、いつまでたっても公開しないわけにもいきませんので、
第3回の開催めどが立ったこのタイミングで公開いたします。
今日12月9日はこの記事で取り上げている第1問のほかに、
第2問と第3問の記事も同時にUPしています。
第2問と第3問の記事も同時にUPしています。
楽しみにされていた方には、長らくお待たせしていて大変申し訳なく思います。
第3回では開催時期中に解答や解説を製作するつもりなので、
公開方法は変わるかもしれませんが、開催終了から長いことお待たせせずに解説記事をUPすることを目指します。
第3回垂れ流し模試は
12月12日(土)19:00~来年1月11日(月祝)23:59
の予定です。問題をお楽しみに!
それでは、第2回開催の1問目の解説です。

第1問は(1)と(2)で独立した小問になっています。
(1)解答例

(1)は空間ベクトルでした。
Iの座標を知るのですから、$\vector{OI}$を求めるのですが、
問題の設定にはAの座標が与えられており、
しかもIについてもAIが平面CFHに垂直と与えられていますので、
解き方として、しばらくはAを起点とするベクトルを中心に考えて、
まずは$\vector{AI}$を求めることを考えます。
A, B, D, Eの座標はすべて与えられており、
ABCD-EFGHが平行六面体であることからC, F, Hの座標もわかります。
特に$\vector{AC}$, $\vector{AF}$, $\vector{AH}$が分かることになります。
Iが問題の条件を満たす位置にいるのは、
(i) Iが平面EFGH上にあること
(ii) $\vector{AI}$が平面CFHに垂直であること
の2つが同時に成り立つことが必要十分です。
(i)からは、(*)のようにして、実数$m, n$を用いて、
$\vector{AI}=(1-m-n)\vector{AE}+m\vector{AF}+n\vector{AH}$
と表せます。
もちろん、この$\vector{AE}$, $\vector{AF}$, $\vector{AH}$が同一平面上になく、
しかもこれらのうちどの2本も平行でない、と必ず述べておきましょう(線型独立性)。
また(ii)からは、平面と直線の垂直の定義によって、
$\vector{AI}$が、平面CFH上の平行でない2本のベクトル、
例えば$\vector{CF}$と$\vector{CH}$のそれぞれと垂直になります。
いずれの直交性も「内積が0」という条件に置き換えられます。
あとは、(ii)の内積が0の2本立てを(1)を用いて具体的に計算して
$m, n$の方程式を2本連立させて$m, n$を求めます。
それをもとの(*)に代入すると、$\vector{AI}$が出てきます。
最後に$\vector{OI}=\vector{OA}+\vector{AI}$から$\vector{OI}$を求めれば、
Iの座標が分かります。
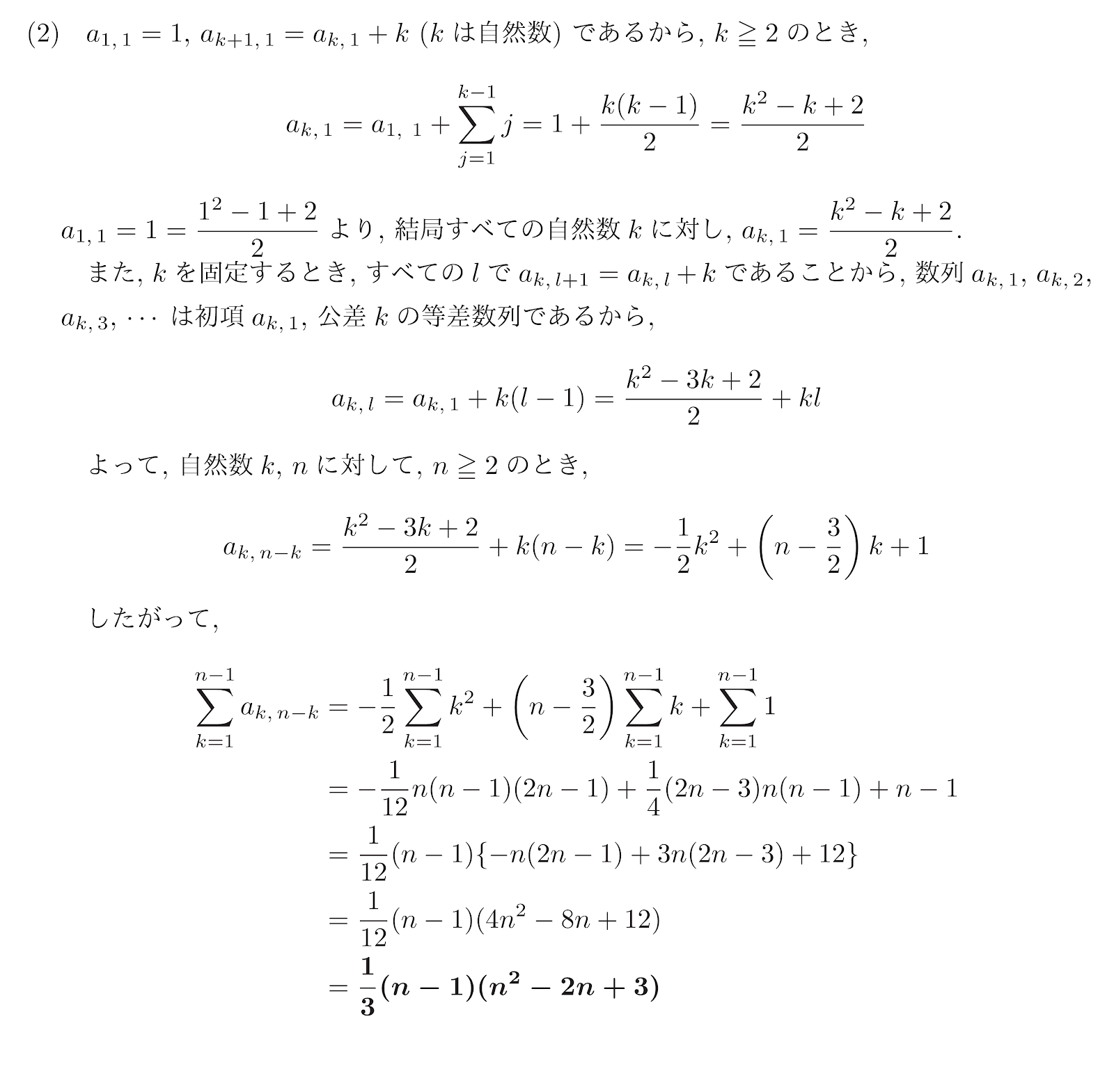
(2)解答例

(2)は数列でした。
添え字が2個あってとっつきづらいかもしれませんが、
それぞれの添え字に関する漸化式があるので、
それらを丁寧にといて、まず一般項$\{a_{k, l}\}$を求めます。
最初に$a_{1,\,1}=1$と$a_{k+1,\,1}=a_{k,\,1}+k$から、$a_{k, 1}$を求めます。
2番目の漸化式から、$a_{k+1,\,1}-a_{k,\,1}=k$なので、
これは階差数列から一般項を求める方法を使えばよさそうです。
なお、階差数列から$a_{k, 1}=a_{1, 1}+\dsum_{j=1}^{k-1}k$に持ち込むときには
シグマ記号の有効性から$k>1$すなわち$k\geqq 2$とすることに注意しましょう。
そのため、解答例でも$k=1$での成立を別個確認しています。
$a_{k, 1}$が分かれば、次は3番目の式$a_{k,\,l+1}=a_{k,\,l}+k$を使って
$a_{k, l}$を求めます。
こちらも変形すれば、$a_{k,\,l+1}-a_{k,\,l}=k$です。
ここで注意したいのは、$k$を固定した時、この式は$l$のみに関する漸化式なので、
特にこの式が、$a_{k, 1}, a_{k, 2}, \cdots$が公差$k$の等差数列になっていることです。
これに気付けば、Σをつかわなくても、$a_{k,\,l}=a_{k,\,1}+k(l-1)$とできます。
あとはそこから$a_{k,\,n-k}$を求めてΣの計算をするだけですので、丁寧にいきましょう。
ということで今回はここまでです。
次記事は第2回垂れ流し数学模試の第2問の解説です。
最後までお読みいただきありがとうございました。
ではまた!
それでは、第2回開催の1問目の解説です。
第1問

第1問は(1)と(2)で独立した小問になっています。
(1)解答例

(1)は空間ベクトルでした。
Iの座標を知るのですから、$\vector{OI}$を求めるのですが、
問題の設定にはAの座標が与えられており、
しかもIについてもAIが平面CFHに垂直と与えられていますので、
解き方として、しばらくはAを起点とするベクトルを中心に考えて、
まずは$\vector{AI}$を求めることを考えます。
A, B, D, Eの座標はすべて与えられており、
ABCD-EFGHが平行六面体であることからC, F, Hの座標もわかります。
特に$\vector{AC}$, $\vector{AF}$, $\vector{AH}$が分かることになります。
Iが問題の条件を満たす位置にいるのは、
(i) Iが平面EFGH上にあること
(ii) $\vector{AI}$が平面CFHに垂直であること
の2つが同時に成り立つことが必要十分です。
(i)からは、(*)のようにして、実数$m, n$を用いて、
$\vector{AI}=(1-m-n)\vector{AE}+m\vector{AF}+n\vector{AH}$
と表せます。
もちろん、この$\vector{AE}$, $\vector{AF}$, $\vector{AH}$が同一平面上になく、
しかもこれらのうちどの2本も平行でない、と必ず述べておきましょう(線型独立性)。
また(ii)からは、平面と直線の垂直の定義によって、
$\vector{AI}$が、平面CFH上の平行でない2本のベクトル、
例えば$\vector{CF}$と$\vector{CH}$のそれぞれと垂直になります。
いずれの直交性も「内積が0」という条件に置き換えられます。
あとは、(ii)の内積が0の2本立てを(1)を用いて具体的に計算して
$m, n$の方程式を2本連立させて$m, n$を求めます。
それをもとの(*)に代入すると、$\vector{AI}$が出てきます。
最後に$\vector{OI}=\vector{OA}+\vector{AI}$から$\vector{OI}$を求めれば、
Iの座標が分かります。
(2)解答例

(2)は数列でした。
添え字が2個あってとっつきづらいかもしれませんが、
それぞれの添え字に関する漸化式があるので、
それらを丁寧にといて、まず一般項$\{a_{k, l}\}$を求めます。
最初に$a_{1,\,1}=1$と$a_{k+1,\,1}=a_{k,\,1}+k$から、$a_{k, 1}$を求めます。
2番目の漸化式から、$a_{k+1,\,1}-a_{k,\,1}=k$なので、
これは階差数列から一般項を求める方法を使えばよさそうです。
なお、階差数列から$a_{k, 1}=a_{1, 1}+\dsum_{j=1}^{k-1}k$に持ち込むときには
シグマ記号の有効性から$k>1$すなわち$k\geqq 2$とすることに注意しましょう。
そのため、解答例でも$k=1$での成立を別個確認しています。
$a_{k, 1}$が分かれば、次は3番目の式$a_{k,\,l+1}=a_{k,\,l}+k$を使って
$a_{k, l}$を求めます。
こちらも変形すれば、$a_{k,\,l+1}-a_{k,\,l}=k$です。
ここで注意したいのは、$k$を固定した時、この式は$l$のみに関する漸化式なので、
特にこの式が、$a_{k, 1}, a_{k, 2}, \cdots$が公差$k$の等差数列になっていることです。
これに気付けば、Σをつかわなくても、$a_{k,\,l}=a_{k,\,1}+k(l-1)$とできます。
あとはそこから$a_{k,\,n-k}$を求めてΣの計算をするだけですので、丁寧にいきましょう。
ということで今回はここまでです。
次記事は第2回垂れ流し数学模試の第2問の解説です。
最後までお読みいただきありがとうございました。
ではまた!
0 件のコメント:
コメントを投稿